Skip to content
Parents
Staff
Search site
Cherokee County School District
Every Student, Every Day.
Parents
Staff
Search site
Explore
Explore
Schools
Translate
Explore
Schools
Translate
News & Info
Show submenu for News & Info
News & Info
District Events Calendar
District News
Crystal Apple Award
Crystal Apple Award Winners
Board of Trustees
Show submenu for Board of Trustees
Board of Trustees
Board Members
Board Policy
Board Agendas/Minutes
Show submenu for Board Agendas/Minutes
2025/2026 Board Meeting Calendar
Board Meetings
Board Committees
Resources
Show submenu for Resources
Resources
PowerSchool Resources
Testing
Show submenu for Testing
SCREADY / SCPASS / EOC Online Training Tool
Attendance & Truancy Policy
Know2Cherokee
Title I
Inclement Weather Information
Cherokee County School District Organizational Chart
Accreditation Report
SC School Report Card
CCSD FOIA Requests
Strategic Education Plan - Vision 2030
Departments
Show submenu for Departments
Departments
Curriculum and Instruction
Show submenu for Curriculum and Instruction
Instructional Materials Review Regulation 43-170
Reading Plans
Fine Arts Calendar
District Testing Schedule
Title I
TURNAROUND PLAN
Comprehensive Health Education
Erin's Law
Gavin's Law
Contact Us
Finance
Show submenu for Finance
Current Salary Schedules
Accounts Payable
Audit Reports
Bid Information
District Mileage Chart
Financial Reports
Financial Transparency
Fixed Assets
Flexibility Report
Financial Forms
Online Fundraising
Payroll
Policy and Procedure
Procurement
Raffles
Staff Directory
Surplus Properties
Surplus Real Estate
ESSER III Plan
Bid Opportunities
Food Services
Show submenu for Food Services
Summer Feeding Program
Building Better Menus
Disclaimer
Food Service Charge Policy
Nutritional Information
Staff Directory
Human Resources
Show submenu for Human Resources
Expanded ADEPT
Alternative Certification Program
Certification Renewal
Certification Information
Contact HR
Employee Benefits
Employment Procedures - Classified
Employment Procedures - Substitute
Employment Procedures - Teacher
HR Forms
National Board Certification
Staff Directory
Mentor Teacher Information
Title IX Information
Staff Directory
Information Technology
Show submenu for Information Technology
Acceptable Use Policy
IT Content and Info
IT FAQ
Network Security
Staff Directory
Technology Work Orders
Mobile Computing Guide
23-24 Device Fees
Maintenance
Office of the Superintendent
Operations
Safety
Show submenu for Safety
School Resource Officers (SRO)
Sex Offender Registry
School Security Measures
School Bus Safety
Reporting Safety Concerns
Family Reunification Procedures
School Health Services
Show submenu for School Health Services
Health Mission Statement
Telehealth
School Nurse Directory
Health Forms
Models of Care School Health
Measles Information
When to Keep Your Child at Home
When to Call Your Child's School Nurse
Diabetes Care - School Guidelines
Medication Policy
SAVE Act
Health/Emergency Information
Individual Health Plans & Emergency Plans
Health Screenings
Immunization Requirements
Medicaid Assistance
Butterflies and Books (Teen Pregnancy Services)
Health Newsletters
Additional Health Resources
Contact Health Services
Student Services
Show submenu for Student Services
Who We Are
Special Education
Staff Directory
Section 504
Cherokee County Transition Resources
MTSS: RTI and PBIS
Health and Wellness
Medical Homebound
Homeschool
Disclaimer
Attendance and Discipline
Emotional Vaccines
School Choice
Transportation
Show submenu for Transportation
Staff Directory
Field Trip Request Form
Activity Bus Request - Blacksburg
Activity Bus Request - Gaffney
Employment Procedures - Classified
Athletics
Show submenu for Athletics
Athletics
Athletics
Metal Detector/Clear Bag Policy
Forms
Athletic Transportation Form
Middle Schools
Show submenu for Middle Schools
Athletic Schedules
High School
Show submenu for High School
Athletic Schedules
Coaches Packet for Non-District Employees
Athletic Sponsors
Preschool Registration Info
Show submenu for Preschool Registration Info
Preschool Registration Info
Preschool Registration Info
Quick Links
Show submenu for Quick Links
Quick Links
New Superintendent
STOPit Anonymous Tip Line
District Facilities Study
ExecuTime
AESOP
ClassLink
Current Vacancies
Employee Portal
SafeSchools Staff Training
Enrich
EDPlan SC
PowerSchool for Admins
PowerSchool for Parents
Power Teacher
Renaissance Place
Staff Email
Title IX Information
Transcript Order for Corporations, Attorneys, Current and Former Students
Mosaic Teacher Observations
Surplus Property
Alternative Education Program Information Opt Out
Sex Offender Registry
Data Security Notice
Programs
Show submenu for Programs
Programs
Adult Education
AVID
Scholars Academy
School Health News
School Health News
Staff
Staff
Parents
Parents
eLearning Information for Parents
eLearning Information for Parents
More
Show submenu for
Cherokee County School District
News
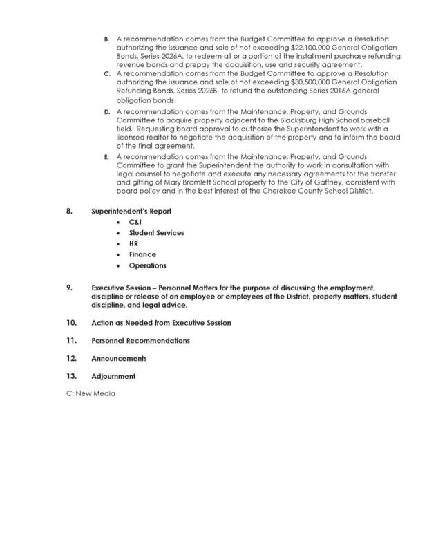
School Board Meeting for Monday, March 16, 2026 at 6 PM
School Board Meeting for Monday, March 16, 2026 at 6 PM
Claudia Duckett
March 13, 2026
Board Meeting Link 03-16-26